中国政府网
|
黑龙江省人民政府
|
佳木斯市人民政府
登录
|
注册
|
退出
|
|
无障碍
|
关怀版
网站支持IPv6
搜一搜
首页
新闻资讯
政府信息公开
政务服务
政民互动
走进汤原
首页
新闻资讯
政府信息公开
政务服务
政民互动
走进汤原
当前位置:
首页
>
政府信息公开
>
法定主动公开内容
>
其他政府信息
>
财政资金直达基层
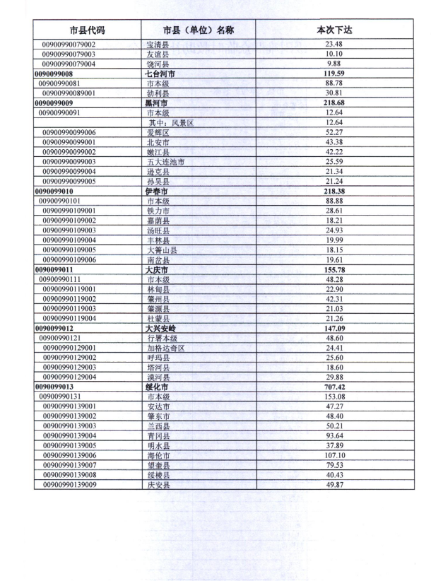
黑龙江省财政厅关于预拨2022年省级困难群众临时救助补助资金预算的通知
黑龙江省财政厅关于预拨2022年省级困难群众临时救助补助资金预算的通知
日期:
2022-05-07 14:27
来源:
财政局
字号:
大
中
小
分享到:
汤原县财政局现将《黑龙江省财政厅关于预拨2022年省级困难群众临时救助补助资金预算的通知》在政府网站进行公开公示。
相关附件:
监审:
审核:
编辑:
扫一扫在手机打开当前页
相关信息
hi!我是智小佳